NETGEAR is aware of a growing number of phone and online scams. To learn how to stay safe click here.

Forum Discussion

miguelangelnet's avatar
Nov 02, 2021

Firmware Update v4.6.5.8 - CBR750

I just have a firmware update v4.6.5.8 for the CBR750 from the "Firmware Update" section, but I don't find any documentation from the NETGEAR website. Is safe to update?.

 

thanks!

7 Replies

  • plemans's avatar
    plemans
    Guru - Experienced User

    A lot of times they choose a smaller subset of routers to push the update to or that can get it from the manual update server. 

    Its usually been tested pretty well in house.

    so is it safe? Tough to say unless you've tried it. 

    You could make a backup configuration of your current setup. 

    If it has issues, you can downgrade and restore your backup. 

    • Thanks Plemans,

       

      I'm going to give my experience with this new update V4.6.5.8_2.0.54:

      • I updated yesterday night, so, just few hours with the new update, everything looks good. Yesterday, when I was doing some speed tests after the update I was getting around 750 Mbps (I have Xfinity 900 / 20), today I am getting 930 Mbps, yesterday I had the ethernet cable with TV streaming video, so, probably the speed test was affected for that, or just with too much network traffic in the area at that moment, so, good speed now, and good latency, 0 complaints.
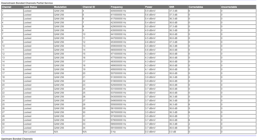
      • I noticed that with the v3.2.16.9_1.4.7 I had before the update I had too much correctables, and uncorrectable values. I spoke with Xfinity weeks ago to solve the issue but they were always telling me that the signal was good (one of the technitians came even one day to check). But, even with these theoric bad "values", I didn't have any real issue with internet / connection. Now with the V4.6.5.8_2.0.54 I don't have uncorrectables and just few correctables, almost nothing, that it's a good thing, probably the firmware was helping with the signal / estability.
      • The NTP Settings (Network Time Protocol) was wrong, it said that the Current Time is Thursday, 09 Sep 2021..., so, I choose a new NTP server instead of the default NETGEAR NTP server, applied changes, and next I came back to the default one and now everything looks good with Wednesday, 03 Nov 2021. The thing I don't understand is why the time is one hour less...., but, anyway, nothing to be worry about.

       

      I'll update with new information if I see any issue, but, for now looks pretty good, and stable.

       

      With the v3.2.16.9_1.4.7 before:

       

      With the new V4.6.5.8_2.0.54:

       

       

       

      • miguelangelnet's avatar
        miguelangelnet
        Guide

        Ping tests results to epicgames:

         

        # ping qosping-aws-us-west-1.ol.epicgames.com -c 10

         

        • With ethernet cable connected to satellite:

        --- qosping-aws-us-west-1.ol.epicgames.com ping statistics ---

        10 packets transmitted, 10 packets received, 0.0% packet loss

        round-trip min/avg/max/stddev = 12.559/14.625/18.829/1.680 ms

         

        • With WiFi connected to satellite:

        --- qosping-aws-us-west-1.ol.epicgames.com ping statistics ---

        10 packets transmitted, 10 packets received, 0.0% packet loss

        round-trip min/avg/max/stddev = 13.757/19.470/22.895/2.492 ms

         

        Pretty good response and standard deviation.