NETGEAR is aware of a growing number of phone and online scams. To learn how to stay safe click here.
Forum Discussion
Sprusse
Apr 28, 2024Aspirant
Downstream blinking - NETGEAR nighthawk CM1200
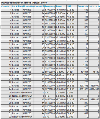
My internet works but the downstream keeps blinking and I am getting packet loss whenever I watch a stream or play games. It works with 0 packet loss for awhile then sometimes it goes to 20% packet loss. I have provided some downstream info below.
3 Replies
- FURRYe38Guru - Experienced User
Please post a copy and paste of the modems event log page.
https://kb.netgear.com/30008/How-do-I-view-or-clear-the-event-logs-on-my-NETGEAR-cable-modem-or-modem-routerYou have lots of correctables and un-correctables that should be zero's.
Have the ISP check the signal and line quality UP to the modem. Be sure the ISP provisions the modem correctly.
Be sure there are no coax cable line splitters in the between the modem and ISP service box.
Be sure your using good quality RG6 coax cable up to the modem.
Start with removing any amplifiers, signal attenuators, or splitters from the coax.
From there check the line for kinks, damage, moisture in the line.
Check the connectors for improperly made ends, foil touching the copper coax line, loose connections, bad/old/cheap connectors, or corroded connections. Replace them if you do.
Be sure to power OFF the modem for 1 minute then back ON.
https://community.netgear.com/t5/Cable-Modems-Routers/General-info-and-Troubleshooting-for-Cable-Modems/m-p/1530376#M12853
https://www.duckware.com/tech/solving-intermittent-cable-modem-issues.html- SprusseAspirant
Hi FurrYe38,
I appreciate the time you are spending to assist with my issue. Here are the event logs below.- FURRYe38Guru - Experienced User
Any Criticals, Errors or Warnings seen in the event logs needs to be reviewed and resolved by the ISP. Indicates a signal issue on the ISP line up to the modem.