NETGEAR is aware of a growing number of phone and online scams. To learn how to stay safe click here.
Forum Discussion
CRNile
Mar 05, 2023Tutor
Low SNR on Download Channels C7000v2
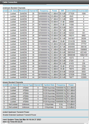
I recently purchased my Netgear C7000v2 modem/router and I am having terrible download times when I check with speedtest.net and Xfinity's speed check. My Download channel light blinks even though al...
- Mar 05, 2023
You'll have to wait on the service ticket. You do have a bunch of errors and if the tech is still getting them when he's directly connected to the outside cable, its coming from the hub connection somewhere. Not much to do on your end but call occasionally so they don't "forget" about it.
FURRYe38
Mar 05, 2023Guru - Experienced User
Please post a copy and paste of the modems event log page.
https://kb.netgear.com/30008/How-do-I-view-or-clear-the-event-logs-on-my-NETGEAR-cable-modem-or-modem-router
You have a ton of correctables and un-correctables that should be all zeros.
Have the ISP check the signal and line quality UP to the modem. Be sure the ISP provisions the modem correctly.
Be sure there are no coax cable line splitters in the between the modem and ISP service box.
Be sure your using good quality RG6 coax cable up to the modem.
Start with removing any amplifiers, signal attenuators, or splitters from the coax.
From there check the line for kinks, damage, moisture in the line.
Check the connectors for improperly made ends, foil touching the copper coax line, loose connections, bad/old/cheap connectors, or corroded connections. Replace them if you do.
Be sure to power OFF the modem for 1 minute then back ON.
https://community.netgear.com/t5/Cable-Modems-Routers/General-info-and-Troubleshooting-for-Cable-Modems/m-p/1530376#M12853
https://kb.netgear.com/24311/Power-level-guidelines-for-a-NETGEAR-cable-modem-router
https://www.duckware.com/tech/solving-intermittent-cable-modem-issues.html
plemans
Mar 05, 2023Guru - Experienced User
You'll have to wait on the service ticket. You do have a bunch of errors and if the tech is still getting them when he's directly connected to the outside cable, its coming from the hub connection somewhere. Not much to do on your end but call occasionally so they don't "forget" about it.