NETGEAR is aware of a growing number of phone and online scams. To learn how to stay safe click here.
Forum Discussion
Koz1614
Apr 13, 2020Tutor
Uncorrectable errors, high latency, packet loss CM1150v/R7000
 Hi all,     New to the netgear forum here..hoping someone can help me solve this mystery.     A few weeks ago, (possibly coincidentally) the same time everyone started working from home due to the pa...
- May 05, 2020
I never had the R7000, however I do have the R7800 and XR450 and the XR has a bit better range. The 450 and 500 are the same sans the 2.4Ghz connetion rate is slower on the 450 is all. The XR would have better speeds then the R7000 and will probably have better range.
I have two EX7700s connected to my XR450 and that systems works very well for wireless coverage in a 5000Sq ft home.
Glad the ISP fixed there side of the fence. Please mark your post thread as solved.
Koz1614 wrote:plemans Connection is good..back to getting full speeds and even able to game online again. Latency is also good. As I said maybe im just looking for a level of perfection that cannot be achieved due to the nature of the ISP setup in my area. I dont think there is anything else I can do to improve things further. On a side note I did purchase an XR500 router. I was a little dissapointed with the 5ghz range compared to my R7000. Seems like the R7000 definitley had better 5ghz range especially when conecting to my EX7700. Do you know anything about the XR500 vs the R7000 ranges? Thanks again..you guys have truly been a big help !!
 
plemans
Apr 13, 2020Guru - Experienced User
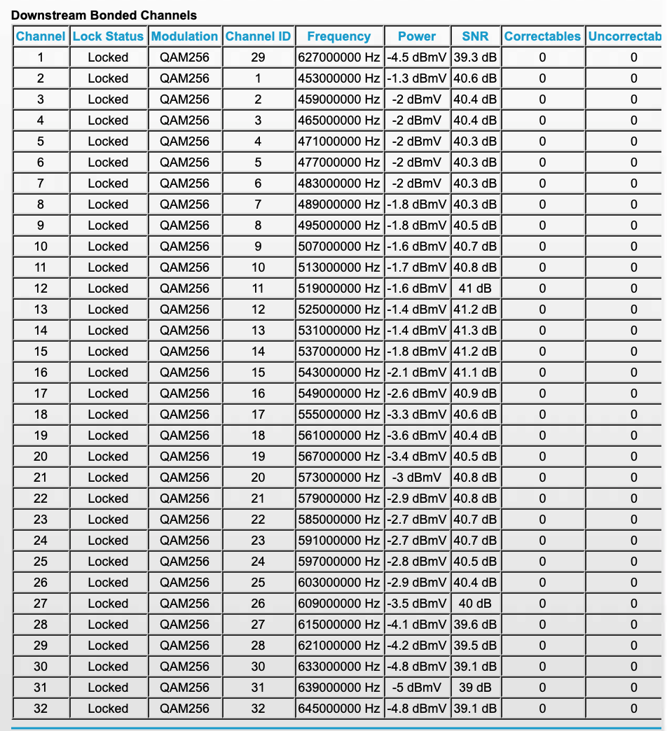
You've got errors on channels 30-32.
Problem with adding an amplifier. Yes it gets your signal to the good range. but if you're amplifying a bad signal it doesn't help. and can create issues on the upstream.
Try this. directly connect the modem to right where the coax enters the home. without the amplifier or any splitters. use the setup for a little while (to get some data moving), then take the same screen snips. lets see what it looks like then.
If that all looks good and the signal doesn't have errors and can tolerate a splitter then we move on from there.
the prefered way to run with cable tv and modem is a dual splitter when it enters the home. One leg goes directly to the modem and the other to amplifier/additional splitters needed. TV's and voip tend to tolerate erros/signal amplification better.
this gives the best signal to the modem with the least amount of issues.
Koz1614
Apr 13, 2020Tutor
plemans Thank you! I will definitley try that. Currently the splitter I have is a 4 way due to the amount of outlets in the house. If I run a 2 way splitter off the main line, I will have to run one more splitter off the amp.
So new setup would be:
Main line into 2 way splitter --> 1 line direct to modem, 1 line to 'in' amp
Amp 8 channels --> 1 line to additional 2 way splitter
Couple follow up questions:
- Is the CM1150V a puma 6 chipset modem? ( I did research and it appears not)
 - Can the router/extender cause uncorrectable errors on the modem?
 
Thanks!!!
- FURRYe38Apr 13, 2020Guru - Experienced User
The CM modems is not a Puma 6 based modem. Broadcom based.
- Koz1614Apr 14, 2020Tutor
Hi, uploading my latest signal levels with new configuration.
New config has the main line to a two way splitter..one to modem, one to tv. Signal levels are down from where they were when connected the amplifier, but no uncorrectable errors as of yet (Modem has a little over an hour of uptime & signals are still in spec).
- Koz1614Apr 14, 2020Tutor