NETGEAR is aware of a growing number of phone and online scams. To learn how to stay safe click here.

Forum Discussion

MrFlish's avatar
MrFlish
Aspirant
Feb 23, 2021
Solved

CM 1200 Event Logs and Channels

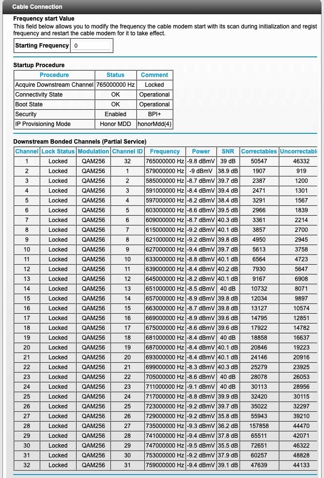
Need some help understanding what issues my log and channels are trying to tell me. The modem DS light is flashing and but everything else seems to be operating. The network is working but I'm not sure if it's setup correctly or I've got issues elsewhere that need to be addressed. I do have occasional drops during the day thaat last for a few seconds.

 

Thanks in advance for the help.

 

 

 

  • You have a ton of errors in your line, your power is out of spec, and your log indicates a line issue. 

    This all tends to point to problems with the line. 

    remove any splitters, attenuators, or amplifiers from the line. Check for kinks, damage, loose/old/bad/corroded/connections. Replace them if there are. check the cable to ensure its good quality rg6. 

    Also, try moving the modem to right where the coax enters the home. Maybe wiring within the walls is bad. 

    Then try using it for a bit and getting the screen snips of the logs/connections again. If they're the same, your isp needs to check the line. 

5 Replies

  • plemans's avatar
    plemans
    Guru - Experienced User

    photos have to be approved by a moderator and can take a while. 

    Or you can add them by clicking "choose file" and adding them 1 at a time so we can view them