NETGEAR is aware of a growing number of phone and online scams. To learn how to stay safe click here.
Forum Discussion
CRNile
Mar 05, 2023Tutor
Low SNR on Download Channels C7000v2
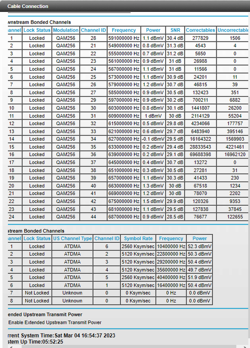
I recently purchased my Netgear C7000v2 modem/router and I am having terrible download times when I check with speedtest.net and Xfinity's speed check. My Download channel light blinks even though all download channels are locked. When it is bad, my download channel SNR values run from 27.4 to 30.6 dB and the download speed is 3.8 Mbps. When I get my normal download speed of around 90 Mbps, my SNR values are 29.1 to 31.5 dB .
I had a service tech from Xfinity come out to check the connections and he found a broken cable outside, but he looked at my readings from the modem/router and said that the SNR value should be above 33 dB and he said that it must be the outside service from the street that is bad. He couldn't check that, but put in a service order for me. I haven't heard anything since from Xfinity.
This is a large retirement campus (42 acres) with Xfinity internet service going to many individual units.
Here is my current channel status.
Any suggestions would be appreciated.
Thanks, Chuck
You'll have to wait on the service ticket. You do have a bunch of errors and if the tech is still getting them when he's directly connected to the outside cable, its coming from the hub connection somewhere. Not much to do on your end but call occasionally so they don't "forget" about it.
6 Replies
- FURRYe38Guru - Experienced User
Please post a copy and paste of the modems event log page.
https://kb.netgear.com/30008/How-do-I-view-or-clear-the-event-logs-on-my-NETGEAR-cable-modem-or-modem-routerYou have a ton of correctables and un-correctables that should be all zeros.
Have the ISP check the signal and line quality UP to the modem. Be sure the ISP provisions the modem correctly.
Be sure there are no coax cable line splitters in the between the modem and ISP service box.
Be sure your using good quality RG6 coax cable up to the modem.
Start with removing any amplifiers, signal attenuators, or splitters from the coax.
From there check the line for kinks, damage, moisture in the line.
Check the connectors for improperly made ends, foil touching the copper coax line, loose connections, bad/old/cheap connectors, or corroded connections. Replace them if you do.
Be sure to power OFF the modem for 1 minute then back ON.
https://community.netgear.com/t5/Cable-Modems-Routers/General-info-and-Troubleshooting-for-Cable-Modems/m-p/1530376#M12853
https://kb.netgear.com/24311/Power-level-guidelines-for-a-NETGEAR-cable-modem-router
https://www.duckware.com/tech/solving-intermittent-cable-modem-issues.html- plemansGuru - Experienced User
You'll have to wait on the service ticket. You do have a bunch of errors and if the tech is still getting them when he's directly connected to the outside cable, its coming from the hub connection somewhere. Not much to do on your end but call occasionally so they don't "forget" about it.
- CRNileTutor
Here is a snapshot of my log.
- plemansGuru - Experienced User
That's the standard router logs and not the event logs. Similar location in the GUI but called event log