NETGEAR is aware of a growing number of phone and online scams. To learn how to stay safe click here.
Forum Discussion
tb2780
Aug 17, 2021Aspirant
Intermittent Packet Loss
Hi,
I've been using by CM1200 modem for ~2 years without issues until a couple weeks ago where I started seeing some really bad packet loss that will happen intermittently. Some of the side effects of these events are broken voice calls (I can hear others, but my mic will cut out) and huge lag spikes during gaming. I was able to verify these are happening on the first hop outside of my internal network using WinMTR (don't have those results actively available but can try to reproduce them if necessary). I'm suspecting either a faulty modem or degraded connection from my ISP. Before taking any further action (replacing modem or paying Comcast to come out) I was hoping someone might be able to provide guidance from my modem's power logs.
Any help would be greatly appreciated!
Thanks,
Tony
4 Replies
- FURRYe38Guru - Experienced User
Is there a wifi router system in between the CM modem and your devcies or is this happening with a wired PC connected to the back of the CM modem? What is the brand and model of the host wifi router connected to the modem?
Please post a copy and paste of the modems connection status page.
Have the ISP check the signal and line quality UP to the modem. Be sure the ISP provisions the modem correctly.
Be sure there are no coax cable line splitters in the between the modem and ISP service box.
Be sure your using good quality RG6 coax cable up to the modem.
Be sure to power OFF the modem for 1 minute then back ON.
https://community.netgear.com/t5/Cable-Modems-Routers/General-info-and-Troubleshooting-for-Cable-Modems/m-p/1530376#M12853- tb2780Aspirant
Thanks for you response!
- Is there a wifi router system in between the CM modem and your devcies or is this happening with a wired PC connected to the back of the CM modem? What is the brand and model of the host wifi router connected to the modem?
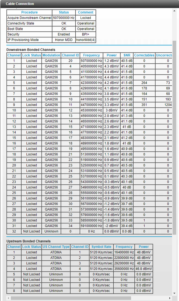
Yes, there is a Netgear R7000 router. I see this issue on both WiFi and Ethernet connections. As alluded to earlier, the packet loss appears at the second hop outside of my LAN so I don't suspect the router. But I can potentially remove that device from the equation to run further tests. - Please post a copy and paste of the modems connection status page.
The connection is listed as "Good" and attaching the Cable Information page. Is this what you are referring to? - Have the ISP check the signal and line quality UP to the modem. Be sure the ISP provisions the modem correctly.
- Be sure there are no coax cable line splitters in the between the modem and ISP service box.
- Be sure your using good quality RG6 coax cable up to the modem.
Noted on these recommendations. - Be sure to power OFF the modem for 1 minute then back ON.
I've tried this multiple times and it hasn't resolved the issue
I've reviewed most of the self-help documents and I was hoping someone can help me parse my modem power level logs to see if there's any failures that can be discerned through the modem itself.
- tb2780Aspirant
Ahh... I just realized my image uploads might be getting swallowed up. Here's an imgur link: https://imgur.com/iTKLDGG
- Is there a wifi router system in between the CM modem and your devcies or is this happening with a wired PC connected to the back of the CM modem? What is the brand and model of the host wifi router connected to the modem?