NETGEAR is aware of a growing number of phone and online scams. To learn how to stay safe click here.

Forum Discussion

sleeplessInMN's avatar
Jan 04, 2022

CM1000 Xfinity - random intermittent slowdown then return to normal

Hi, hope someone can help me out here as to what to do, or where to start. I have a CM1000 with an Orbi RBR50 for wireless.

 

We've been getting random drops in speed, where its 200Mbps, then when these drops do happen, speedtest show 5Mbps to 20Mbps. Browser pages will just be blank and show connecting, or sometimes just really slow like the year 2000. It becomes normal again after 10 minutes or so. I initially thought it was the Orbi, but even our Netflix on AppleTV thats WIRED to the Orbi has been buffering recently, which made me think it's probably the modem. I've attached the logs for the modem.

 

Maybe this isn't relevant, but we do have about 40 smart home devices (lights, plugs) on our network. The only high bandwidth activities we do is Netflix on one TV, and the entire day of 2 laptops working from home. I'm just so tempted to buy a new modem and see if that fixes it, but our CM1000 is only 4 years old and our plan is only 200Mbps.

 

Please help! 

 

CM1000 versions:

Hardware Version 2.02
Firmware Version V7.01.01

 

 

7 Replies

  • FURRYe38's avatar
    FURRYe38
    Guru - Experienced User

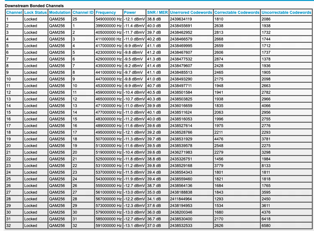
    Your power is a bit too high. 

    https://kb.netgear.com/24311/Power-level-guidelines-for-a-NETGEAR-cable-modem-router?article=24311

     

    You have lots of correctables and un-correctables as well. Something your ISP needs to look into.

    Have the ISP check the signal and line quality UP to the modem. Be sure the ISP provisions the modem correctly.
    Be sure there are no coax cable line splitters in the between the modem and ISP service box. 
    Be sure your using good quality RG6 coax cable up to the modem. 
    Be sure to power OFF the modem for 1 minute then back ON.
    https://community.netgear.com/t5/Cable-Modems-Routers/General-info-and-Troubleshooting-for-Cable-Modems/m-p/1530376#M12853
    https://www.duckware.com/tech/solving-intermittent-cable-modem-issues.html
    https://highspeed.tips/docsis-events/

    • sleeplessInMN's avatar
      sleeplessInMN
      Tutor

      Thanks for answering so quickly!

       

      I did see a splitter in between the cable that goes in the house and the router so I took that out (because it wasn't used) and plugged straight into the modem and restarted. All values look good so far with no correctable and uncorrectables, and power values within range (expected I guess since it's only been an hour) so I'll observe it for the next day or so. I just restarted the modem last night and it acted up when I woke up so we'll see how it goes tonight.

       

      Will keep this updated with my observations.

      • plemans's avatar
        plemans
        Guru - Experienced User

        got a screen snip of them? I could give you a rough guess at how the values are. Time will tell on the errors though.

        Hope it works!

  • plemans's avatar
    plemans
    Guru - Experienced User

    Your power levels aren't to high. They're to low. 

    They should be between -7.5dbmv and 7dbmv. You're under that. Meaning the signal coming in is to weak. 

    That could be because you have something in the line causing it to be lower like a signal attenuator, coax splitter, or extended coax runs. 

    So remove any splitters or signal attenuators from your line. Move the modem to right where the coax comes into the house. 

    Check it there. (redo your screen snips in that location).

    If its not any better, then the isp will need to check the line