NETGEAR is aware of a growing number of phone and online scams. To learn how to stay safe click here.

Forum Discussion

Off2Geo's avatar
Off2Geo
Aspirant
Dec 12, 2025

CM1200 suddenly dropping on Comcast

I am suddenly having the same issue. Have to turn the modem off, wait a minute then turn back on. It's good for a bit, then it happens again. Times are totally random that it goes down. All lights showing its working fine. Router (ASUS RT-AX86U Pro (AX5700) shows all is fine. Attaching logs...

Any help would be much appreciated.

13 Replies

  • plemans's avatar
    plemans
    Guru - Experienced User

    so 2 units have had similar issues. Tends to indicate the line even more. Especially with the logs. They're indicating a line issue. 

    Options? 

    1. Check the line yourself in the house. Check for loose connections, kinks, corrosion, bad cables. Preferrable, move the modem to right where it comes in so it limits the potention of it being something in the walls causing the issues. Replace any splitters (or just remove them for testing) 
    2. rent their modem for a month. See if it has issues. If it does, then they're responsible for it since they can't blame the "third-party device". I've used this option before when they blamed my equipment. 
    3. Pay the $50. but get them to agree to refund it if it is confirmed to be their line issue. It'll help your case/chances if you've moved the modem to remove the chance it actually being something in the home. 
    • Off2Geo's avatar
      Off2Geo
      Aspirant

      I have checked the line. Thing is, it comes directly from the pole to the box located on my back porch. Last tech never locked box back up so I can just open it up. It looks fine. Goes from there straight into the modem. Wire was fed thru a previous hole so there is no 3rd connection (like a normal coaxial plate you would hook coax to.

      • plemans's avatar
        plemans
        Guru - Experienced User

        Sounds like you've checked what you can. Time to choose one of the 3 options listed above to fix it. ISP's stink to deal with. Their first response is always "its not our line". 

  • I contacted ISP, and the lady on the other end said she was looking at the modem right now and she sees nothing wrong on her end. She then said she sent several packets to it and it returned all it fine.

     

     I told her that NetGear support said it had to be between the modem and where the line connects. She said I can do anything else with customer owned equipment. I asked if I could send her the logs and screen captures and she said no, but you could send them to a tech specialist and they would read it as a first come first serve basis. She said I could have a tech come out and check the line, but they would charge me $49.95 if they found nothing on their end. I said, "oh no... I am not paying that again for some guy to come into my house and hook up his equipment to my line and check my router and modem and say, well I am not seeing a problem", He said..."but yes your speed is definitely cut in half of what you should be getting...don't tell them I said this because I could get fired, but it looks like they are throttling you." He left, problem was never resolved because they said it was my equipment. I told her go ahead and set me up with that  $4.95 a month fee so if I do have a tech come out again, I don't get charged another $50 for nothing.

     

    Ended up purchasing the NG CM1200 to replace the Arris. That was done in end of June of this year. Everything has been fine until the last few days.

    I since the call this am, guess what... No dropped Internet!!! But I am still monitoring the logs.

     

    BTW, I gave the Arris to my Aunt... It is still working perfectly for her.

    • Off2Geo's avatar
      Off2Geo
      Aspirant

      Sorry, my ISP is Vyve Broadband. Not Comcast. I posted this originally in the wrong area at the end of another post. Noob here, did not see the start new thread until after I posted reply

      • FURRYe38's avatar
        FURRYe38
        Guru - Experienced User

        Ah ok, thanks for the clarification. Get with your ISP on this. 

    • FURRYe38's avatar
      FURRYe38
      Guru - Experienced User

      Link was give already and ISP is in subject line.

  • FURRYe38's avatar
    FURRYe38
    Guru - Experienced User

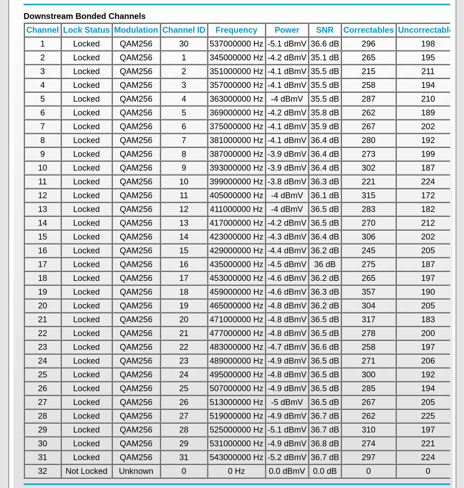
    Power levels are on the low side but with in specs:

    https://kb.netgear.com/24311/Power-level-guidelines-for-a-NETGEAR-cable-modem-router

     

    Lots of correctables and un-correctables that should be mostly zeros.

    Any Criticals, Errors or Warnings seen in the event logs needs to be reviewed and resolved by the ISP. Indicates a signal issue on the ISP line up to the modem.

     

    Have the ISP check the signal and line quality UP to the modem. Be sure the ISP provisions the modem correctly.
    Be sure there are no coax cable line splitters in the between the modem and ISP service box. 
    Be sure your using good quality RG6 coax cable up to the modem. 
    Start with removing any amplifiers, signal attenuators, or splitters from the coax.
    From there check the line for kinks, damage, moisture in the line.
    Check the connectors for improperly made ends, foil touching the copper coax line, loose connections, bad/old/cheap connectors, or corroded connections. Replace them if you do.
    Be sure to power OFF the modem for 1 minute then back ON.

     

     

    https://community.netgear.com/t5/Cable-Modems-Routers/General-info-and-Troubleshooting-for-Cable-Modems/m-p/1530376#M12853

    https://www.duckware.com/tech/solving-intermittent-cable-modem-issues.html

    https://highspeed.tips/docsis-events/

     

     

    • Off2Geo's avatar
      Off2Geo
      Aspirant

      Yeah, it just started randomly. Has been good since I purchased the modem. It has no splitter. The line comes in and connects directly to the Modem.

      • FURRYe38's avatar
        FURRYe38
        Guru - Experienced User

        Have the ISP check things up to the modem. Refer them to the Event logs as well. 

  • Also here is a PDF of the Modems LOG from this am when I restarted it... I have since cleared the log and 11 new notices and 1 new Critical...